Distancia entre dos puntos
Primero que nada hay que saber que entre dos puntos podemos hacer pasar una linea recta, por eso determinar la distancia entre dos puntos es medir el segmento de recta que une esos dos puntos.
Distancia entre dos puntos en la recta numérica
Se define la operación de distancia sobre una recta numérica entre dos puntos, P1 y P2, con la sintaxis: d(P1, P2), como la diferencia de la posición de cada punto y al resultado se le aplica el valor absoluto, el valor absoluto se aplica porque las distancias se consideran siempre positivas. Así la ecuación de la distancia entre dos puntos sobre la misma recta numérica es:
d(P1,P2)=|P2−P1|
La distancia entre dos puntos en el plano cartesiano
Para calcular la distancia en el plano cartesiano el procedimiento es distinto, se requiere del uso del teorema de Pitágoras; llamado así en honor al filósofo y matemático Pitágoras de Samos (569-475 a.C). Este teorema se aplica a los triángulos rectángulos y relaciona las longitudes entre los catetos y la hipotenusa. Esta relación dice que para todo triángulo rectángulo, el lado mayor (hipotenusa) al cuadrado es igual a la suma de los cuadrados de los lados que conforman el ángulo recto (catetos).
Con base en el teorema de Pitágoras es posible calcular la distancia entre dos puntos en el plano cartesiano. La intención es construir un triángulo rectángulo. Considera dos puntos cualesquiera, P1 y P2, en el plano. Al unir a los dos puntos con una línea recta, la distancia entre los dos puntos corresponde a la longitud del segmento de la recta que los conecta, y esta longitud se denota como P1P2.

Para encontrar la forma de determinar la distancia del segmento que une dos puntos se dibuja una recta paralela al eje Y y que pase por el punto P1 y una recta paralela al eje X que pase por el punto P2; el punto donde se intersectan las rectas que se dibujaron se le denomina P3.

Ahora se tienen tres segmentos los cuales forman un triángulo rectángulo. A cada segmento se le asignara una letra, entonces se tiene:
P1P2 = 𝑎
P2P3 = 𝑏
P1P3 = 𝑐

el segmento 𝑎 corresponde a la hipotenusa y los segmentos 𝑏 y 𝑐 los catetos. Para poder calcular la distancia es necesario obtener las coordenadas de cada punto, supongamos que las coordenadas para el punto P1 son (x1,y1), las coordenadas del punto P2 son (x2,y2), y por la forma en que construimos el punto P3 sus coordenadas son (x1,y2).

A partir de utilizar la ecuación para calcular la distancia entre dos puntos en la recta numérica, d(A,B)=|A−B|, y con base en el teorema de Pitágoras se puede deducir la fórmula para calcular la distancia entre dos puntos en el plano cartesiano. Para calcular el tamaño del segmento b, que corresponde a la distancia entre los puntos P2 y P3 , primeramente hay que observar que poseen la misma coordenada en y; puedes visualizas que estos dos puntos se encuentran sobre una recta numérica. Aplicando la fórmula para calcular la distancia en la recta numérica se tiene,
d(P2, P3)=|x1−x2|=b
De manera semejante, se puede calcular el tamaño de segmento c, que corresponde la distancia entre los puntos P1 y P3, en este caso estos puntos comparten el mismo valore de la abscisa x, se puede deducir que,
d(P1, P3) =|y1−y2|=c
Recuerda que el teorema de Pitágoras se expresa como: a2 = b2 + c2
Sustituyendo las expresiones obtenidas para calcular la distancia se tiene la ecuación,
a2 = (|𝑥1 − 𝑥2|)2 + (|𝑦1 − 𝑦2|)2
Puesto que el cuadrado de un número siempre es positivo se puede omitir el valor absoluto
llegando a la expresión, a2 = (𝑥1 − 𝑥2)2 + (𝑦1 − 𝑦2)2
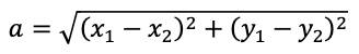
Ten en mente que lo que se quiere calcular es la distancia entre los dos puntos, P1 y P2, y que corresponde al segmento a, por lo tanto es necesario manipular la ecuación para despejar la variable que se busca, aplicando la raíz cuadrada en ambos lados de la ecuación se tiene que,

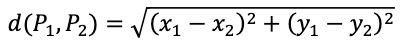
Regresando a la definición de distancia y recordando que corresponde a d(P1,P2) , la fórmula final es,

Al definir que P1 y P2 son dos puntos cualesquiera en el plano cartesiano, la formula anterior es la fórmula general para calcular la distancia entre dos puntos sobre el plano cartesiano.